• Предмет: Алгебра
  • Автор: alexsanya2
  • Вопрос задан 3 года назад

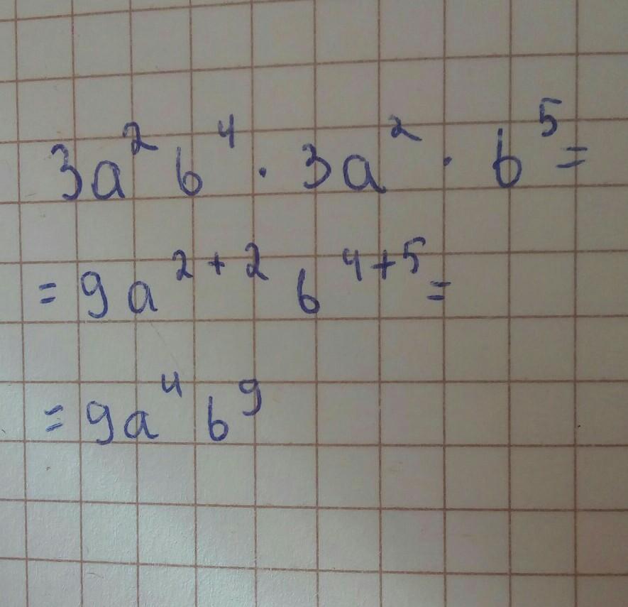
помогите с задачей-3a²b⁴×3a²×b⁵​

Ответы

Ответ дал: goergy0028
1

Объяснение:

Наверное так

Пиши на свой страх и риск

Приложения:
Вас заинтересует