• Предмет: Алгебра
  • Автор: meermanovnurbek31
  • Вопрос задан 3 года назад

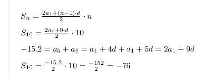
найдите сумму первых десяти членов арифметической прогрессии а(n) если, а(5)+а(6)=-15.2​

Ответы

Ответ дал: Антон9877
2

Ответ:

Ответ дан скрином

Объяснение:

Приложения:
Вас заинтересует