• Предмет: Математика
  • Автор: kozloyfer
  • Вопрос задан 3 года назад

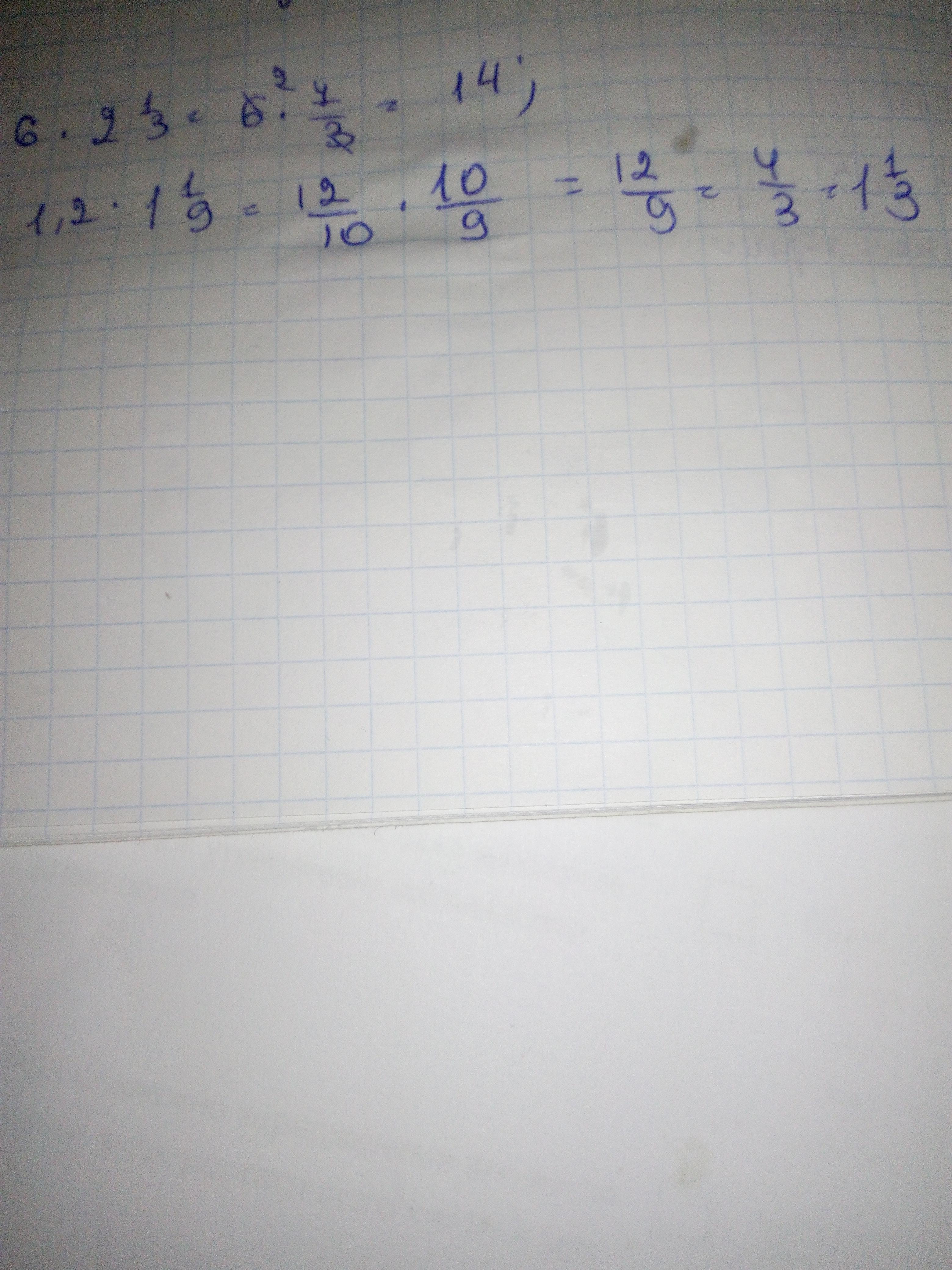
Вычислите
а) 6*2 целых 1/3
б)1,2* 1 целая 1/9

Ответы

Ответ дал: PinkesRose
0

Ответ:

Пошаговое объяснение:

Приложения:
Вас заинтересует