• Предмет: Математика
  • Автор: marmarial15
  • Вопрос задан 3 года назад

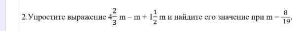
Математика. Надеюсь поможете

Приложения:

Ответы

Ответ дал: Instzloyvaseline
1

Ответ:

\frac{14}{3} m-m+\frac{3}{2}

\frac{11}{3} m+\frac{3}{2}

Подставляем m = \frac{8}{19}

\frac{11}{3} *\frac{8}{19} +\frac{3}{2}

\frac{88}{57} +\frac{3}{2}

\frac{347}{114} или 3,04


marmarial15: Не особо понял но буду верить тебе всё таки 5.3тыс людей помог
Вас заинтересует