• Предмет: Физика
  • Автор: Аноним
  • Вопрос задан 3 года назад

Помогите, срочно пожалуйста! Физика онлайн мектеп, даю 20 баллов​

Приложения:

Ответы

Ответ дал: Nastyaaa6969
1

Ответ:

1, Ответ: Поскольку объемы одинаковы, рассмотрим массу 1 м3 веществ. Наибольшую массу имеет кубик латуни, а наименьшую кубик льда.

2, Ответ: 0,12 г/см3; 120 кг/м3.

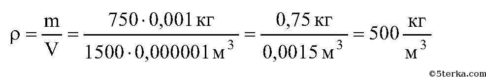
3, Ответ: 500 кг/м3.

Приложения:
Вас заинтересует
2 года назад