• Предмет: Математика
  • Автор: vichkaslivchenko
  • Вопрос задан 3 года назад

Помогите срочно!!!
......

Приложения:

Ответы

Ответ дал: Аноним
0

Ответ:

Пошаговое объяснение:

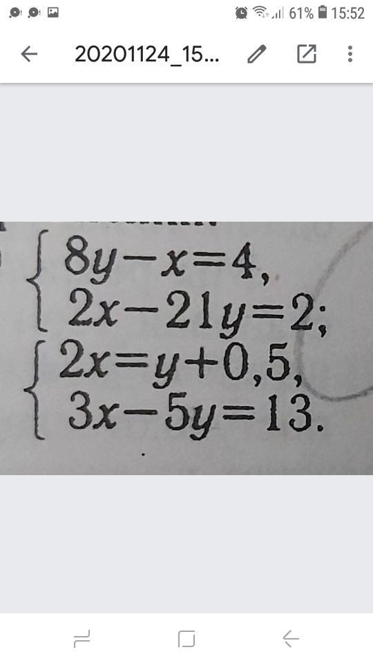
1){х=8у-4

{2(8у-4)-21у=2

{х=8у-4

{16у-8-21у=2

{х=8у-4

{5у=-10

{х=-16-4

{у=-2

{х=-20

{у=-2

2){у=2х-0.5

{3х-5(2х-0.5)=13

{у=2х-0.5

{3х-10х+2.5=13

{у=2х-0.5

{7х=-10.5

{у=-3-0.5

{х=-1.5

{у=-3.5

{х=-1.5

Ответ дал: ozerovavera76
0

ровно 2***************

Вас заинтересует