• Предмет: Алгебра
  • Автор: mamokasa
  • Вопрос задан 3 года назад

Помогите пожалуйста заранее спасибо;(

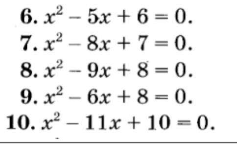
Приложения:

Ответы

Ответ дал: ulzhandikhanbek
0

Ответ:

1; 10

Объяснение:

потому я думаю это правильный ответ

Вас заинтересует