• Предмет: Алгебра
  • Автор: zaxer
  • Вопрос задан 3 года назад

Помогите, даю 15 баллов за 2 задания

Приложения:

Ответы

Ответ дал: Аноним
0

Ответ:

Объяснение:

1-я система неравенств:

5x²-23x-10<0

x²-4>0

1-е неравенство.

5x²-23x-10<0

Допустим:

5x²-23x-10=0; D=529+200=729

x₁=(23-27)/10=-4/10=-0,4

x₂=(23+27)/10=50/10=5

Наносим для этого неравенства точки на ось x и выберем точку из любого интервала, например, 0:

5·0²-23·0-10<0; -10<0

Следовательно, знак на интервале, в котором лежит точка 0 будет -.

+           -                +

-----.-----------------.-----------> x

  -0,4                 5

-0,4<x<5⇒x∈(-0,4; 5) для 1-го неравенства.

2-е неравенство.

x²-4>0; (x-2)(x+2)>0

Допустим:

(x-2)(x+2)=0

x-2=0; x₁=2

x+2=0; x₂=-2

Наносим для этого неравенства точки на ось x и выберем точку из любого интервала, например, 0:

0²-4>0; -4<0

Следовательно, знак на интервале, в котором лежит точка 0 будет -.

   +             -              +

---------.--------------.------------> x

        -2               2

(-∞<x₂<-2)∨(2<x₁<+∞)⇒x∈(-∞; -2)∪(2; +∞) для 2-го неравенства.

А теперь выводим окончательный ответ: x∈(2; 5).

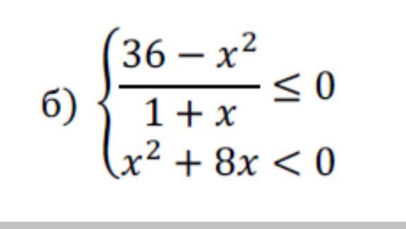
2-я система неравенств:

(36-x²)/(1+x)≤0

x²+8x<0

1-е неравенство.

Переходим к методу интервалов:

(6-x)(6+x)≤0

1+x≠0

Переходим к уравнению:

(6-x)(6+x)(1+x)=0

6-x=0; x₁=6

6+x=0; x₂=-6

1+x=0; x₃=-1

Учитываем дополнительное требование:

1+x≠0; x≠-1

Наносим для этого неравенства точки на ось x и выберем точку из любого интервала, например, 0:

(36-0²)/(1+0)≤0; 36>0

Следовательно, знак на интервале, в котором лежит точка 0 будет +.

   +           -                +                -

----------.-----------.-----------------.--------------> x

          -6          -1                   6

[-6<x<-1)∨(6<x<+∞)⇒x∈[-6; -1)∪[6; +∞) для 1-го неравенства.

2-е неравенство.

x²+8x<0; x(x+8)<0

Допустим:

x(x+8)=0

x₁=0

x+8=0; x₂=-8

Наносим для этого неравенства точки на ось x и выберем точку из любого интервала, например, 1:

1²+8·1<0; 9>0

Следовательно, знак на интервале, в котором лежит точка 1 будет +.

     +                  -                       +

------------.----------------------.------------------> x

            -8                        0

-8<x<0⇒x∈(-8; 0) для 2-го неравенства.

Окончательный ответ: x∈[-6; -1).

Вас заинтересует