• Предмет: Математика
  • Автор: Аноним
  • Вопрос задан 3 года назад

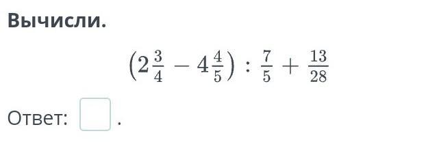
помогите пожалуйста с математикой
отмечу как лучший ​

Приложения:

Ответы

Ответ дал: achasife12
1

Ответ: -1

Пошаговое объяснение: ответ -1


Аноним: спасибо тебе
Вас заинтересует