• Предмет: Алгебра
  • Автор: Аноним
  • Вопрос задан 3 года назад

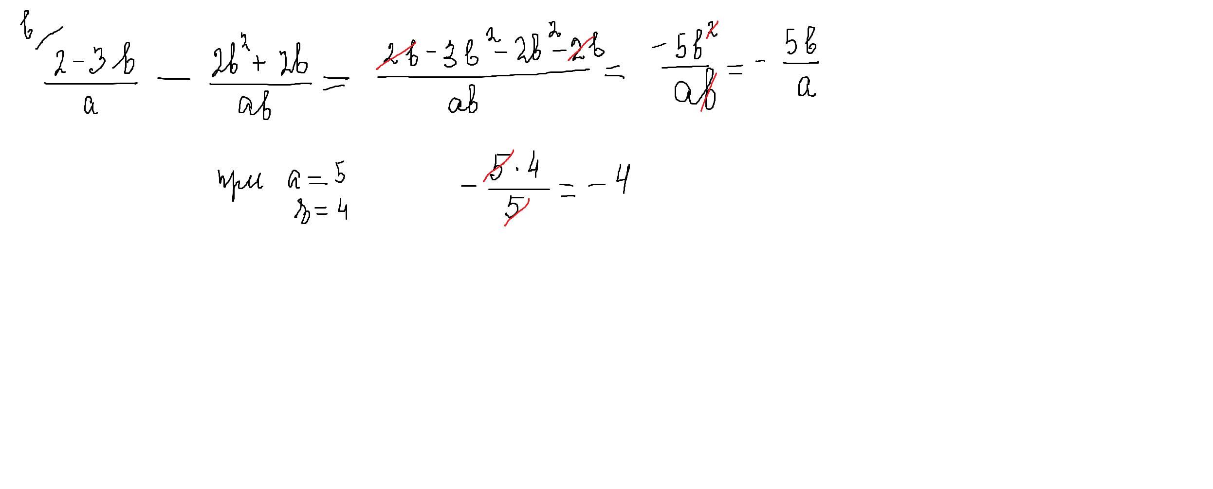
найдите значение выражения

Приложения:

Ответы

Ответ дал: parus77
0

Ответ:

-4

Объяснение:

решение внизу

Приложения:
Вас заинтересует