• Предмет: Алгебра
  • Автор: vladislauszaikov
  • Вопрос задан 3 года назад

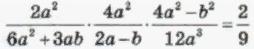
Докажите тождество даю 70 баллов

Приложения:

Ответы

Ответ дал: Universalka
0

\frac{2a^{2}}{6a^{2}+3ab}*\frac{4a^{2}}{2a-b}*\frac{4a^{2}-b^{2}}{12a^{3}}=\frac{2a^{2}*4a^{2}*(2a-b)(2a+b)}{3a*(2a+b)*(2a-b)*12a^{3}} =\frac{2*4*a^{4}}{3*3*4*a^{4}}=\frac{2}{9}\\\\\frac{2}{9}=\frac{2}{9}

Доказано

Вас заинтересует