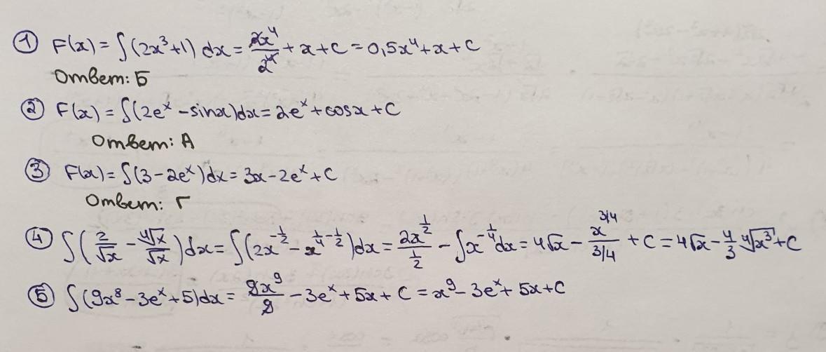
Помогите решить все задания с фотографии 10-11 класс
Ответ прошу скинуть фотографией решенных заданий. Заранее огромное спасибо.
Приложения:

Ответы
Ответ дал:
1
Ответ:
решение на фотографиях
Возможно, в 7 функция не так выглядит, на фото непонятно, что пропущено
Приложения:


HelpMePls764:
Спасибо!
Вас заинтересует
2 года назад
2 года назад
2 года назад
2 года назад
7 лет назад
9 лет назад