• Предмет: Математика
  • Автор: Аноним
  • Вопрос задан 3 года назад

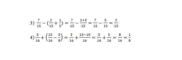
ПОМОГИТЕ СРОЧНО ТОЛЬКО 4 И 3 ПЛИЗЗЗ

Приложения:

Ответы

Ответ дал: nurdauletassuylbekul
0

Ответ:

Ответ в прикрепленном файле

Пошаговое объяснение:

Приложения:
Вас заинтересует