Алгебра 7 класс 50 баллов решите очень надо
№1
Функция задана формулой y=17x+8. Определите значение аргумента, при котором y=25. *
№2
Найдите значение функции y=2,5x‒3 при x=‒5,8
№3
Приложения:

kanmmu:
1. Х=1
Ответы
Ответ дал:
1
Ответ:
Только знаю 1 и 2.
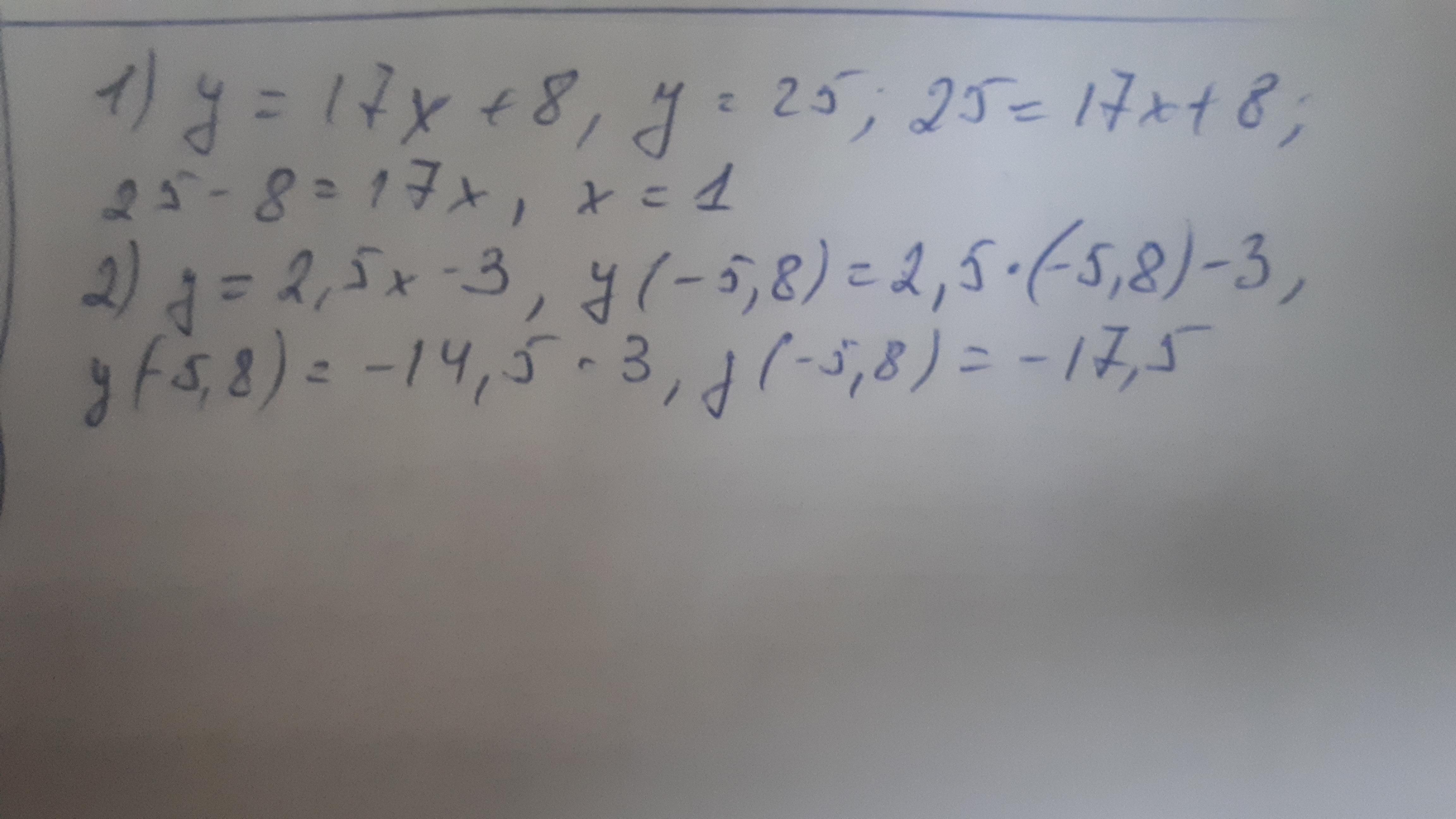
1) у=17х+8
17х+8=25
17х=25-8
17х=17
х=17:17
х=1(это аргумент)
2) у=2,5х-3
у=2,5*(-5,8) -3
у= -14,5-3
у= -17,5
Ответ дал:
1
Ответ:
Объяснение:
На фото
Приложения:

Вас заинтересует
2 года назад
2 года назад
7 лет назад
7 лет назад
9 лет назад