Ответы
Ответ дал:
3
Ответ:
360
Пошаговое объяснение:
/ - тоже дробная черта
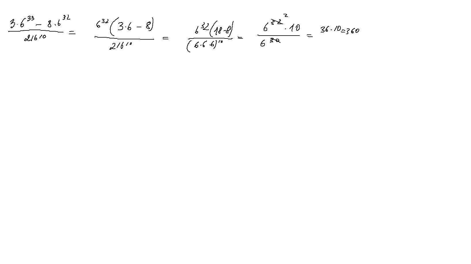
1) (3*6-8)*6³²/6³⁰
2) (18-8)*6³²/6³⁰
3) (18-8)*6²
4) 10*6²
5) 10*36 = 360
Rom4ikPlushk1n:
а сказал 100 баллов будет)
Ответ дал:
1
Ответ:
360
Пошаговое объяснение: выносим за скобки в скобках остается 6*3-8 216 можно представить как 6 в третьей степени, тогда 216
Сокроашаем числитель и знаменатель в числите остается 6 в квадрате умноженное на 10
Приложения:

Вас заинтересует
2 года назад
2 года назад
2 года назад
7 лет назад
7 лет назад
9 лет назад
9 лет назад