• Предмет: Алгебра
  • Автор: Аноним
  • Вопрос задан 3 года назад

Решите показательное уравнение
Фото прикрепил
Пж лучше на листке от руки

Приложения:

Ответы

Ответ дал: Miroslava227
2

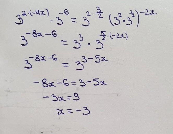
Ответ:

решение на фотографии

P.S. условие я не переписывала.

Приложения:

2000078: зайдите на мой вопрос
2000078: пожалуйста люди
2000078: это алгебра
Аноним: Помогите коталуйста :3 https://znanija.com/task/40345269
Ответ дал: kars1505
2

Ответ:

чутка не успел, ну ладно))

Приложения:

arbuzik344455: kars1505 пожалуста помоги
Аноним: Помогите коталуйста :3 https://znanija.com/task/40345269
kars1505: что помочь то?
Вас заинтересует