• Предмет: Физика
  • Автор: Ga1mer
  • Вопрос задан 3 года назад

СРОЧНО! КОМУ НЕ СЛОЖНО, РЕШИТЕ ПОЖАЛУЙСТА!
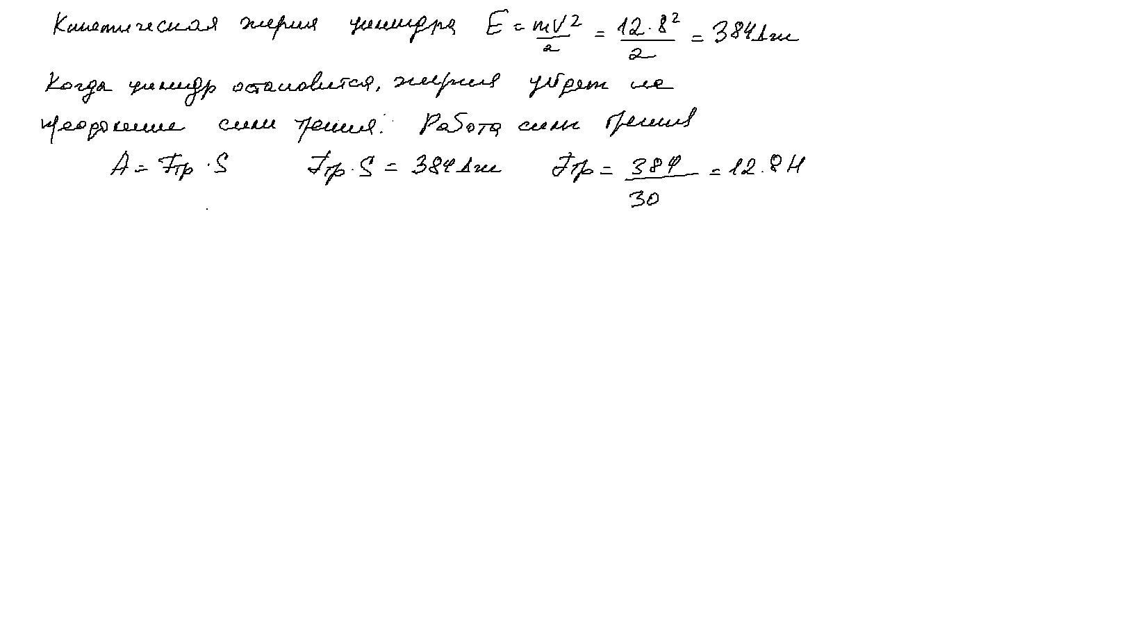
Однородному цилиндру массой 12 кг предоставили скорость поступательного движения 8 м / с. Катясь горизонтально без скольжения, цилиндр проходит путь 30 м. Определить силу трения.

Ответы

Ответ дал: colscyp7jvl5
1

Ответ:

12,8 Н

Объяснение:

кинетическая энергия цилиндра равна работе силы трения

Приложения:

Ga1mer: ОГО!
Ga1mer: Ты герой!
Ga1mer: Огромное спасибо!
Вас заинтересует