Помогите, ребят, электронно ионный баланс.. нужно срочно!
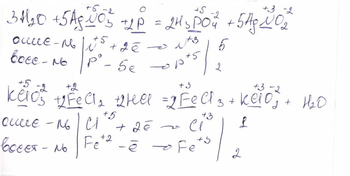
H2O + AgNO3 + P = H3PO4 + AgNO2
KClO3+FeCl2+HCl= FeCl3+KClO2+H2O
Ответы
Ответ дал:
0
можем и с этими продуктами)...см.фото
Приложения:
Ответ дал:
0
спасибо огромное!)
Ответ дал:
0
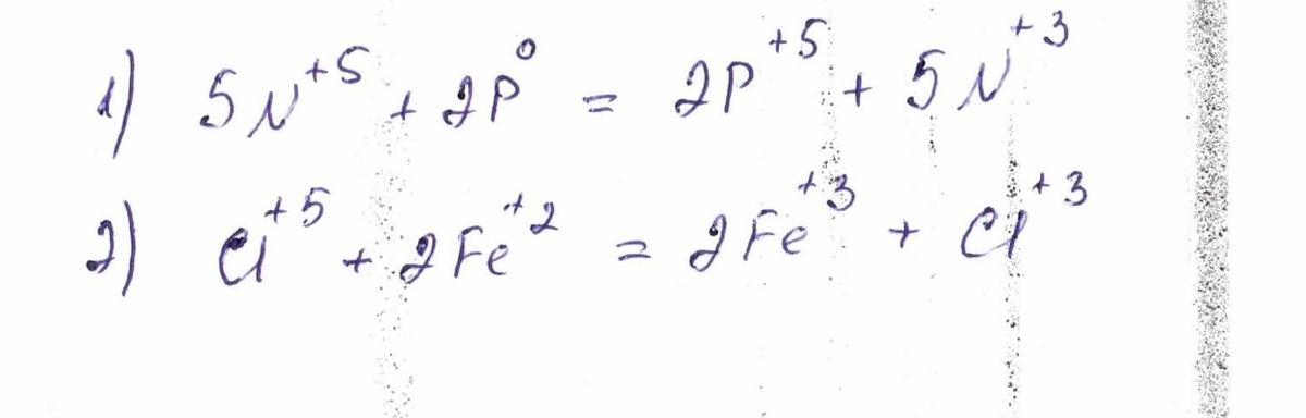
1)H2O+ Ag(+)+NO3(-)+P(0)=H3PO4 {H(+) P(+5) O(-2)}+AgNO2{Ag(+) NO2(-)}
Полуреакции:
NO3+H2O+2e=NO2+2OH-восстановление
P+8OH-5e=PO4+4H2O-окисление
5NO3+5H2O+2P+16OH=5NO2+10OH+2PO4+4H2O
H2O+5AgNO3+2P+6OH=2H3PO4+5AgNO2
Полуреакции:
NO3+H2O+2e=NO2+2OH-восстановление
P+8OH-5e=PO4+4H2O-окисление
5NO3+5H2O+2P+16OH=5NO2+10OH+2PO4+4H2O
H2O+5AgNO3+2P+6OH=2H3PO4+5AgNO2
Приложения:
Вас заинтересует
3 года назад
3 года назад
8 лет назад
11 лет назад
11 лет назад
11 лет назад