Ответы
Ответ дал:
0
Ответ:
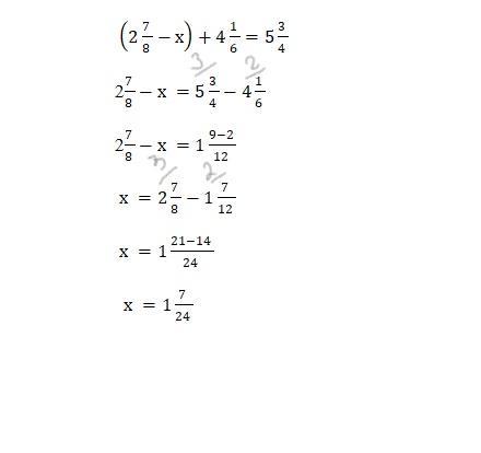
1 7/24
Пошаговое объяснение:
5 9/12-4 2/12= 1 7/12
2 21/24- 1 14/24=1 7/24
Ответ дал:
1
Ответ:
х= 1 7/24
Пошаговое объяснение:
в файле все подробно написано
Приложения:

Miа16:
Ты здесь?)
Вас заинтересует
2 года назад
2 года назад
2 года назад
2 года назад
7 лет назад
7 лет назад
9 лет назад