• Предмет: Математика
  • Автор: flanser1
  • Вопрос задан 3 года назад

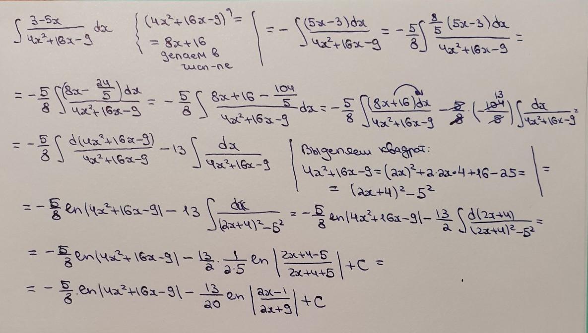
Вычислить неопределенный интеграл методом интегрирования рациональных и иррациональных функций​

Приложения:

Ответы

Ответ дал: Miroslava227
1

Ответ:

решение на фотографии

Приложения:
Вас заинтересует