• Предмет: Алгебра
  • Автор: annavishnevskaya666
  • Вопрос задан 3 года назад

Вычислите:
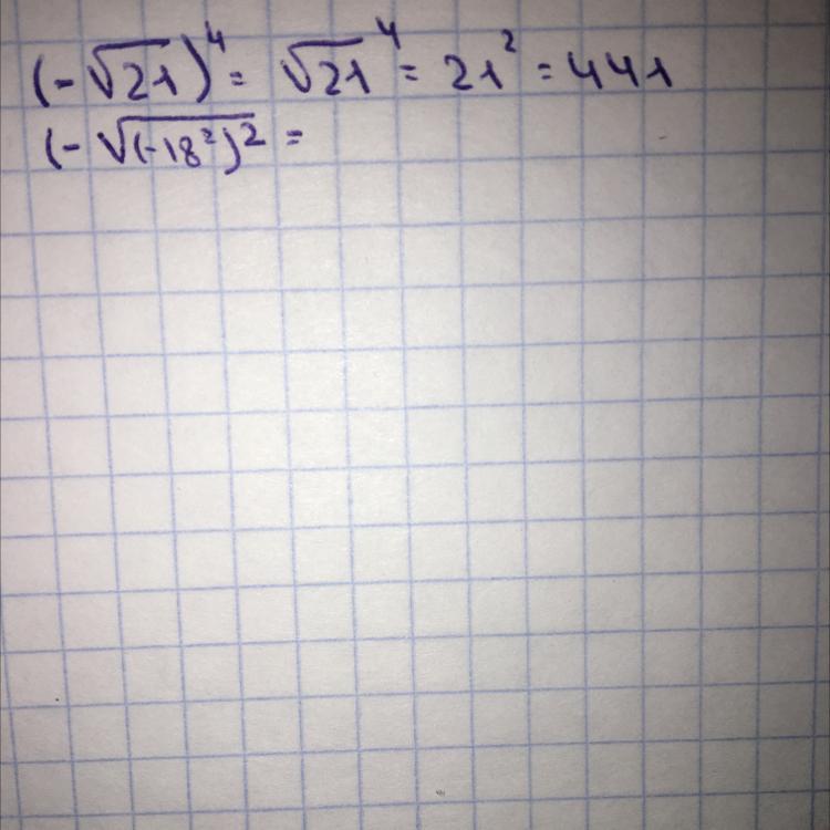
(-√21)⁴
(-√(-18²)²
Пожалуйста, подробно ​

Ответы

Ответ дал: poliifea
1
втрое я не уверена, поэтому не могу написать.((
Приложения:

annavishnevskaya666: Спасибо!
Ответ дал: arisha628
1

Ответ:

Объяснение:

(-√21)^4=√21^4=21^2=441

(-√(-18)^2)^2=(-18)^2=324


annavishnevskaya666: Спасибо!
Вас заинтересует