• Предмет: Алгебра
  • Автор: angelinachintsova
  • Вопрос задан 3 года назад

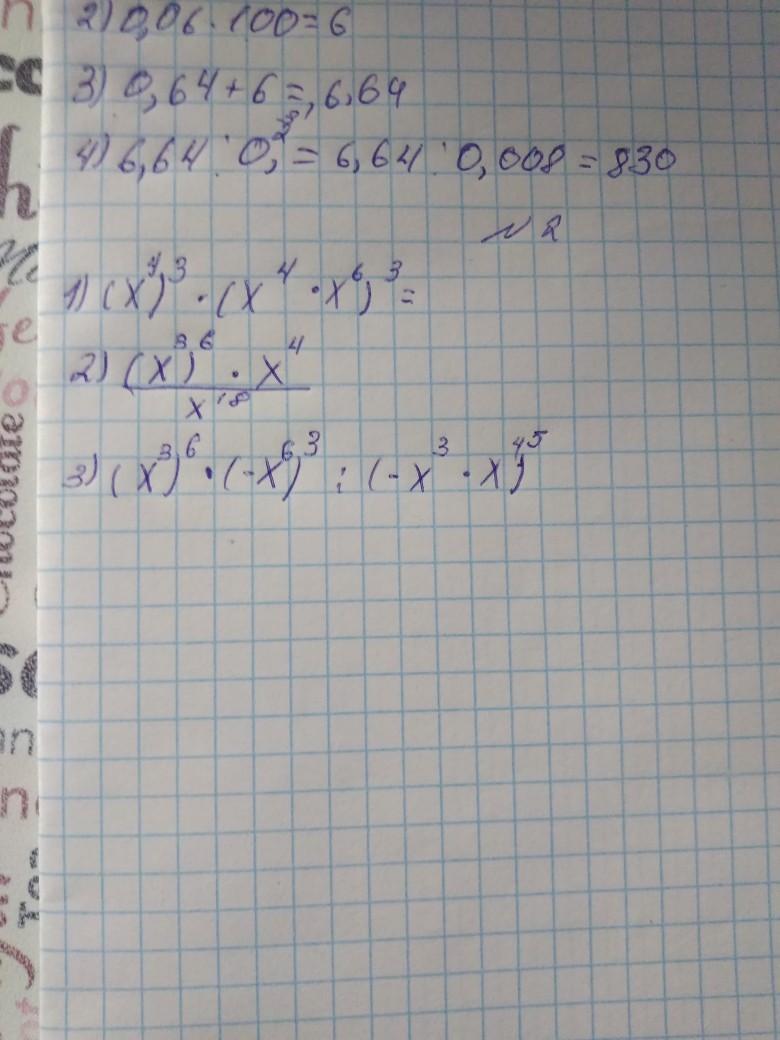
представьте в виде степени с основанием х выражение

Приложения:

Ответы

Ответ дал: kalyamafi
1

1)

ответ: х^42

2)

ответ: х^4

3)

ответ: х^1

Вас заинтересует