• Предмет: Химия
  • Автор: SantaBatman
  • Вопрос задан 10 лет назад

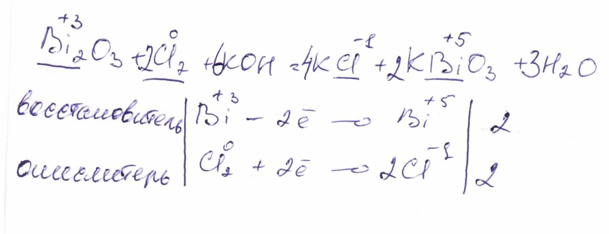
BiO3 + Cl2 + KOH - > KCl + KBiO3 + H2O

Help please. Расставить коэффициенты методом эл.баланса. Пожалуйста :(

Ответы

Ответ дал: AscarisLumbricoides
0
,,,,,,,,,,,,,,,,,,,,,,,,,,вот так...см.фото
Приложения:
Вас заинтересует