• Предмет: Алгебра
  • Автор: aimin77
  • Вопрос задан 3 года назад

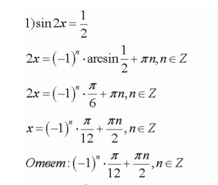
sin^2x=1/2
реши уравнение

Ответы

Ответ дал: sebastyan666
1

Ответ:

Если я правильно поняла условие

Приложения:
Вас заинтересует