• Предмет: Алгебра
  • Автор: mariyamcom06
  • Вопрос задан 3 года назад

Пожалуйста помогите, надо решить неравенство ​

Приложения:

Ответы

Ответ дал: Аноним
1

Ответ:

Объяснение:

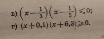
(х-1/3)(х-1/5)≤0

Корни:

х=1/3 ; х=1/5

Методом интервалов определяем,где наша функция меньше или равна нулю.

Ответ: 1/5≤х≤1/3.

х∈[1/5 ;1/3].

г)

(х+0,1)(х+6,3)≥0

Корни:

х= -0,1   ;    х=-6,3.

Методом интервалов определяем, где функция положительная.    (х+0,1)(х+6,3)≥0

Ответ:

х∈(-∞;-6,3]∪[-0,1 ;+∞)

Вас заинтересует