• Предмет: Математика
  • Автор: dndndnva017
  • Вопрос задан 3 года назад

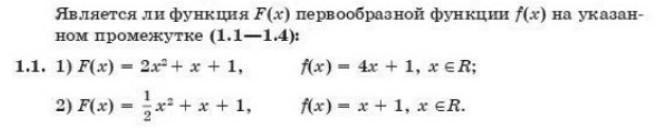
кто знает как сделать ​

Приложения:

Ответы

Ответ дал: hadicha6226
0

1) да является

2) да

3) нет

4) да

Наверно так извини если не так

Вас заинтересует