• Предмет: Алгебра
  • Автор: MonstaXM
  • Вопрос задан 3 года назад

Помогите пожалуйста решить третий номер очень срочно!!!

Приложения:

Ответы

Ответ дал: Trifare
1

Ответ:

Объяснение:

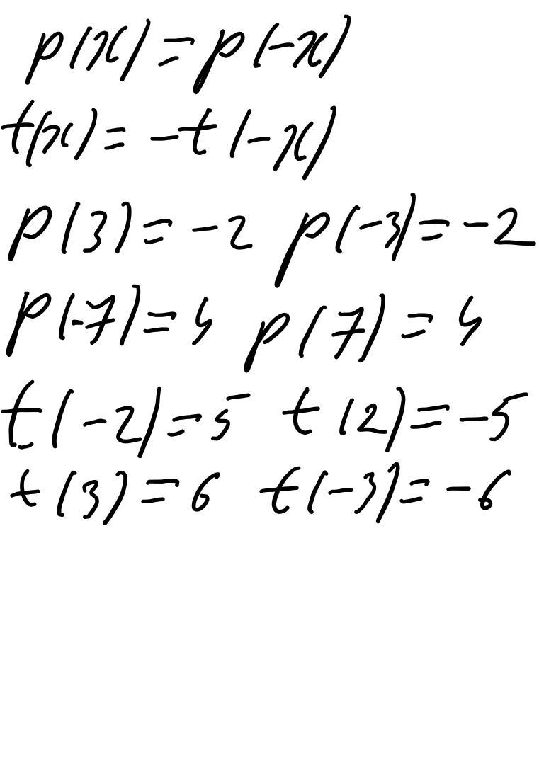
p(x)=p(-x)

t(x)=-t(-x)

Приложения:
Вас заинтересует