• Предмет: Алгебра
  • Автор: natamed0112
  • Вопрос задан 3 года назад

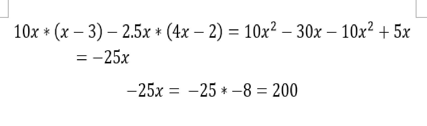
10x×(х-3)-2.5х×(4х-2) при х=-8

Ответы

Ответ дал: scvscs
1

Ответ:

200

Объяснение:

Приложения:
Вас заинтересует