Помогите, аожйлуйтса я отличница, в 6 классе, просто эту тему вообще не понимаю...
Приложения:

Ответы
Ответ дал:
1
Ответ:
вроде правильно
Пошаговое объяснение:
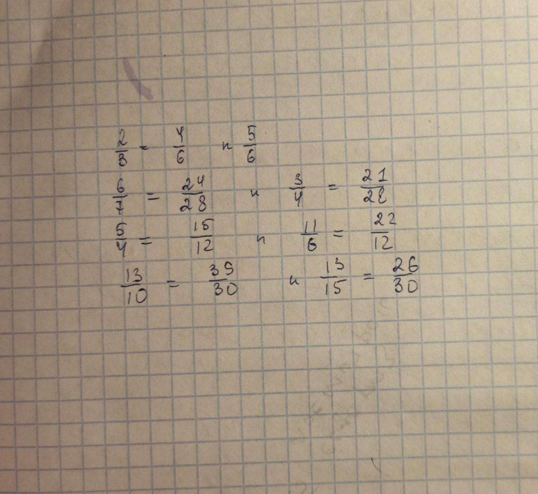
тут нужно в первом случае общий знаменатель - 6,тк и в том и другом случае оно является минимальным. Когда мы приводим дроби к общему знаменателю, мы по сути пытаемся найти такое число, которое делится на каждый из знаменателей.
Приложения:


arishabalio:
спасибо огромное, теперь я поняла эту тему намноооого лучше ❤️
Ответ дал:
1
Ответ:
Вот например 2 /3 ты умножаешь числитель (сверху) и знаменатель на 2 у тебя получится 4/6 и 5/6
Пошаговое объяснение:
То-есть общий знаменатель это общие числа знаменателя
Б) 6/7 = 20/28 и 3/4 = 23/28
Думаю дальше ты поняла, потому что я сама в 6 классе и тему эту поняла отлично)
Вас заинтересует
2 года назад
2 года назад
9 лет назад