Ответы
Ответ дал:
2
Ответ:
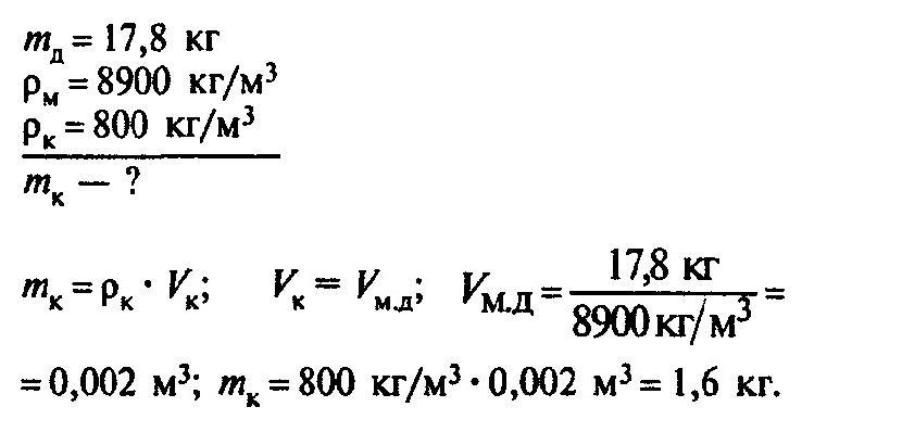
1. 1,6 кг.
2. 20 кг.
3. 45 км/ч.
Объяснение:
Приложения:



Вас заинтересует
2 года назад
2 года назад
2 года назад
2 года назад
7 лет назад
9 лет назад