Ответы
Ответ дал:
0
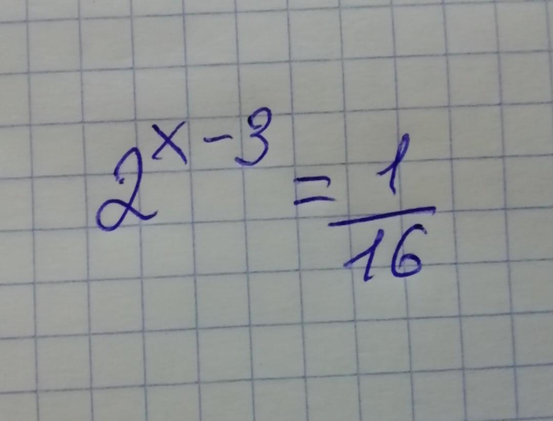
х будет равен -1)) надеюсь помогла
Southik:
Отличная помощь-_-
Ответ дал:
1
1/16 если перевести это 2^-4. Потом так как основания равны приравниваем и решаем
Приложения:

Вас заинтересует
2 года назад
2 года назад
2 года назад
7 лет назад
7 лет назад
9 лет назад
9 лет назад