• Предмет: Математика
  • Автор: pauchokgg
  • Вопрос задан 3 года назад

умоляю помогите решить очень срочно надо:((((((((

Приложения:

Ответы

Ответ дал: klimovadara995
1

Ответ:

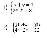
1)x+y=1; из второго уравнения x-y=3

Сложим два уравнения:

2x=4

x=2

y=x-3=-1

Ответ: x=2; y=-1

2)не знаю((

Вас заинтересует