помогите прошу!!!!!!!!!!!!!!
Приложения:

dnepr1:
Так а какую другую функцию надо вычислить?
Ответы
Ответ дал:
1
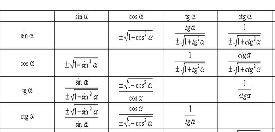
Если известно значение одной тригонометрической функции заданного угла, то по формулам можно определить другие функции.
Таблица дана во вложении.
cos α = (-12/13), 2 четверть.
sin α = √(1 - (144/169) = √(25/169) = 5/13.
tg α = (-12/13) / (5/13) = -12/5.
ctg α = 1/(-12/5) = -5/12.
Приложения:

tg α = 1/(-5/12) = -12/5.
Вас заинтересует
2 года назад
2 года назад
2 года назад
7 лет назад