Ответы
Ответ дал:
0
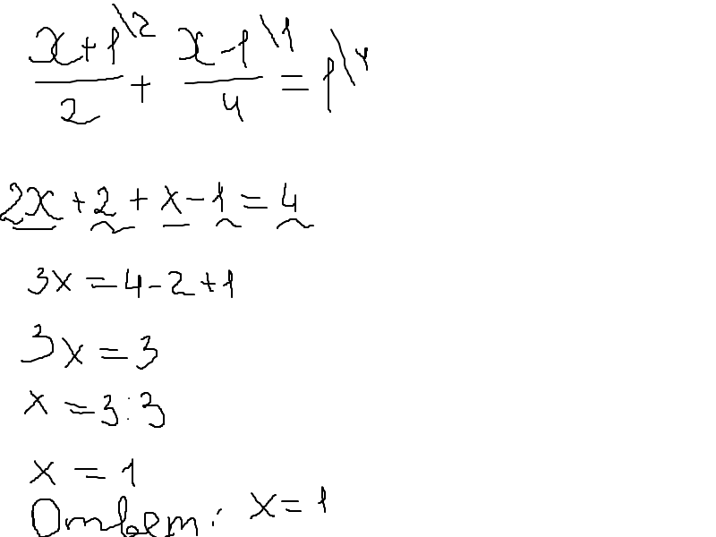
Вроде так)) Смотри в приложенном файле)
Приложения:

Вас заинтересует
2 года назад
10 лет назад
10 лет назад
10 лет назад