• Предмет: Алгебра
  • Автор: adf23op
  • Вопрос задан 3 года назад

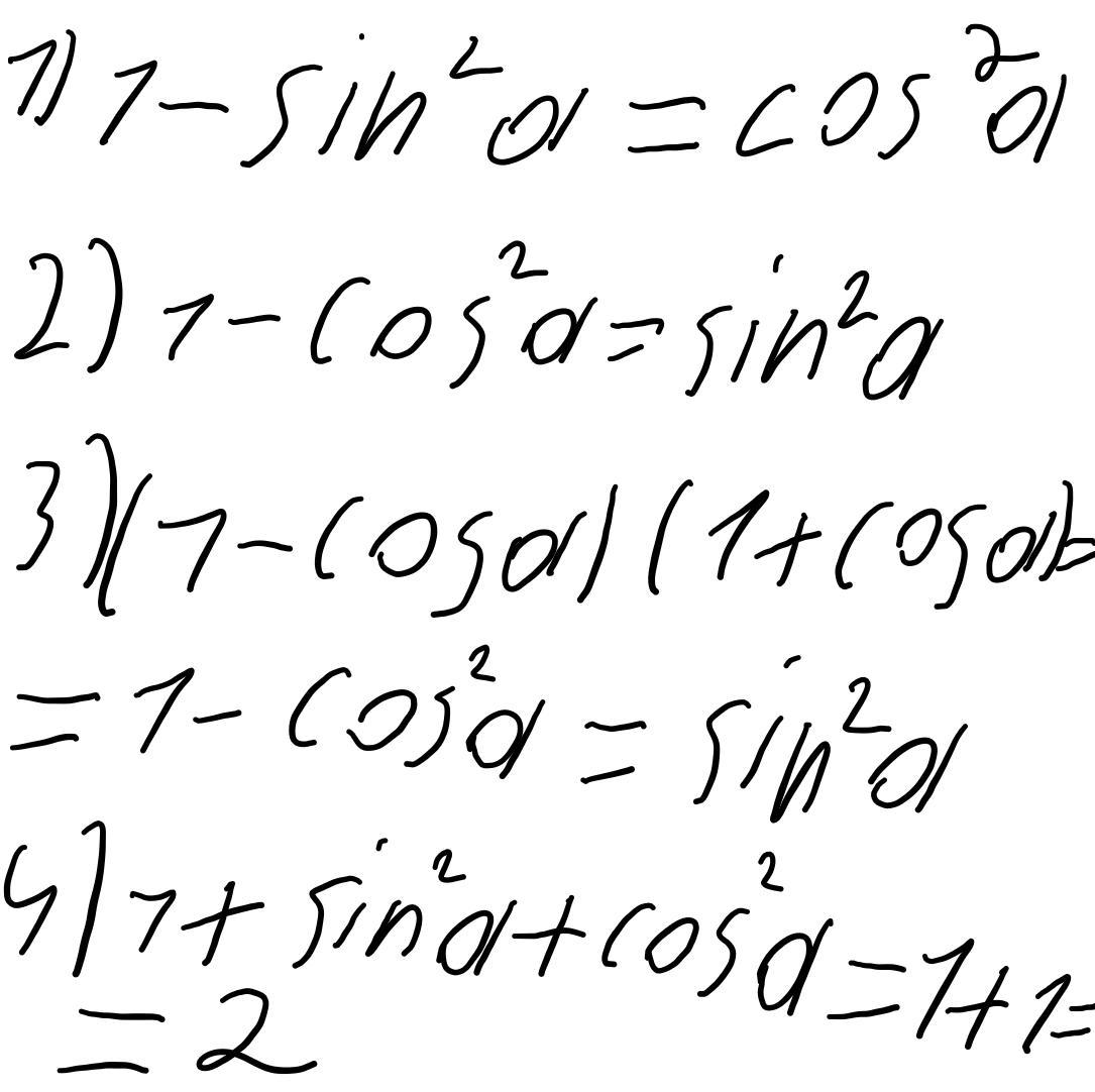
Упростите выражения
1-sin ^2a​

Приложения:

Ответы

Ответ дал: Trifare
1

Задание Упростите выражения

Приложения:
Вас заинтересует