• Предмет: Математика
  • Автор: eeeeeeegdrtgr
  • Вопрос задан 3 года назад

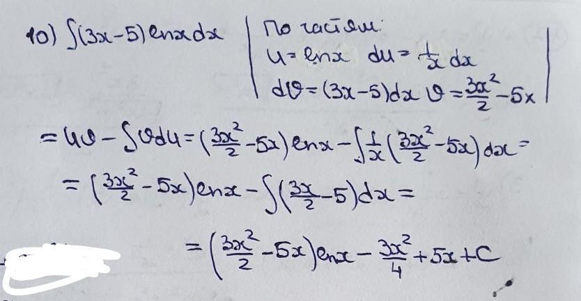
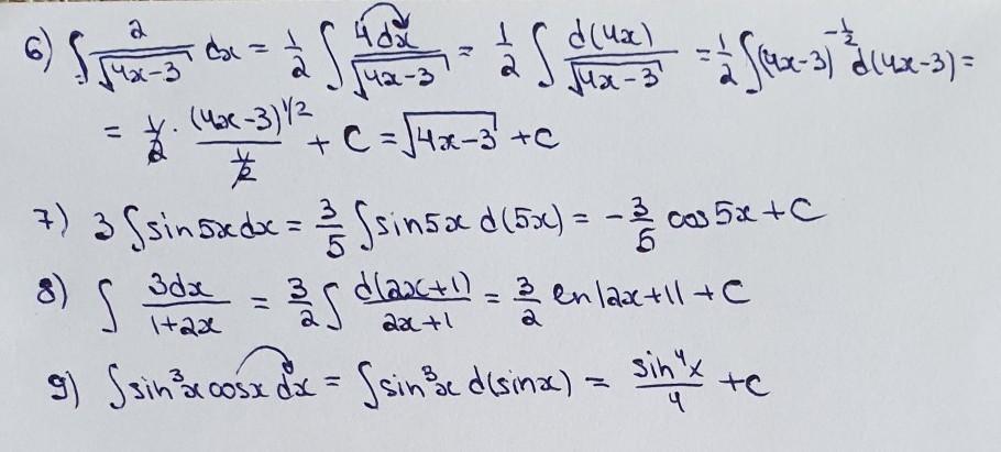
Вычислить неопределенные интегралы::::

Приложения:

Ответы

Ответ дал: Miroslava227
0

Ответ:

решение на фотографиях

Приложения:
Вас заинтересует