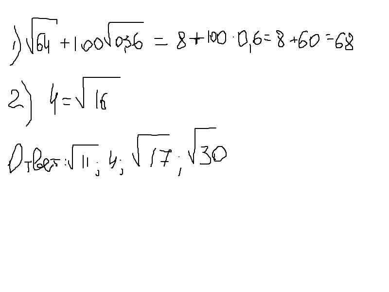
1) Вычислите √64 +100√0.362) Расположите1) Вычислите √64 +100√0.36
2) Расположите числа √17 ,4 ,√30 ,√11 в порядке возрастания
Ответы
Ответ дал:
0
Вроде так, насчет 1 - не знаю
Приложения:

Вас заинтересует
2 года назад
2 года назад
8 лет назад
8 лет назад
10 лет назад
10 лет назад
10 лет назад