Ответы
Ответ дал:
1
Ответ:
Это правильно
Объяснение:
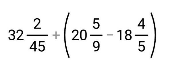
32 2/45+(20 5/9-18 4/5)=
Представить 32 2/45 в виде не правильной дроби:1442/45
Представить 20 5/9 в виде не правильной дроби:185/9
Представить 18 4/5 в виде не правильной дроби:94/5
Получилось:1442/45+(185/9-94/5)=
Вычесть то что в скобке:79/45
Получилось:1442/45+79/45=
Сложить дроби:169/5
1442/45+79/45=169/5
Аноним:
а решение блин можно?
Ответ дал:
2
Ответ:
вроде так
Пошаговое объяснение:
..................
Приложения:

Вас заинтересует
2 года назад
2 года назад
2 года назад
2 года назад
7 лет назад
7 лет назад
9 лет назад