Решите тригонометрическое уравнение:
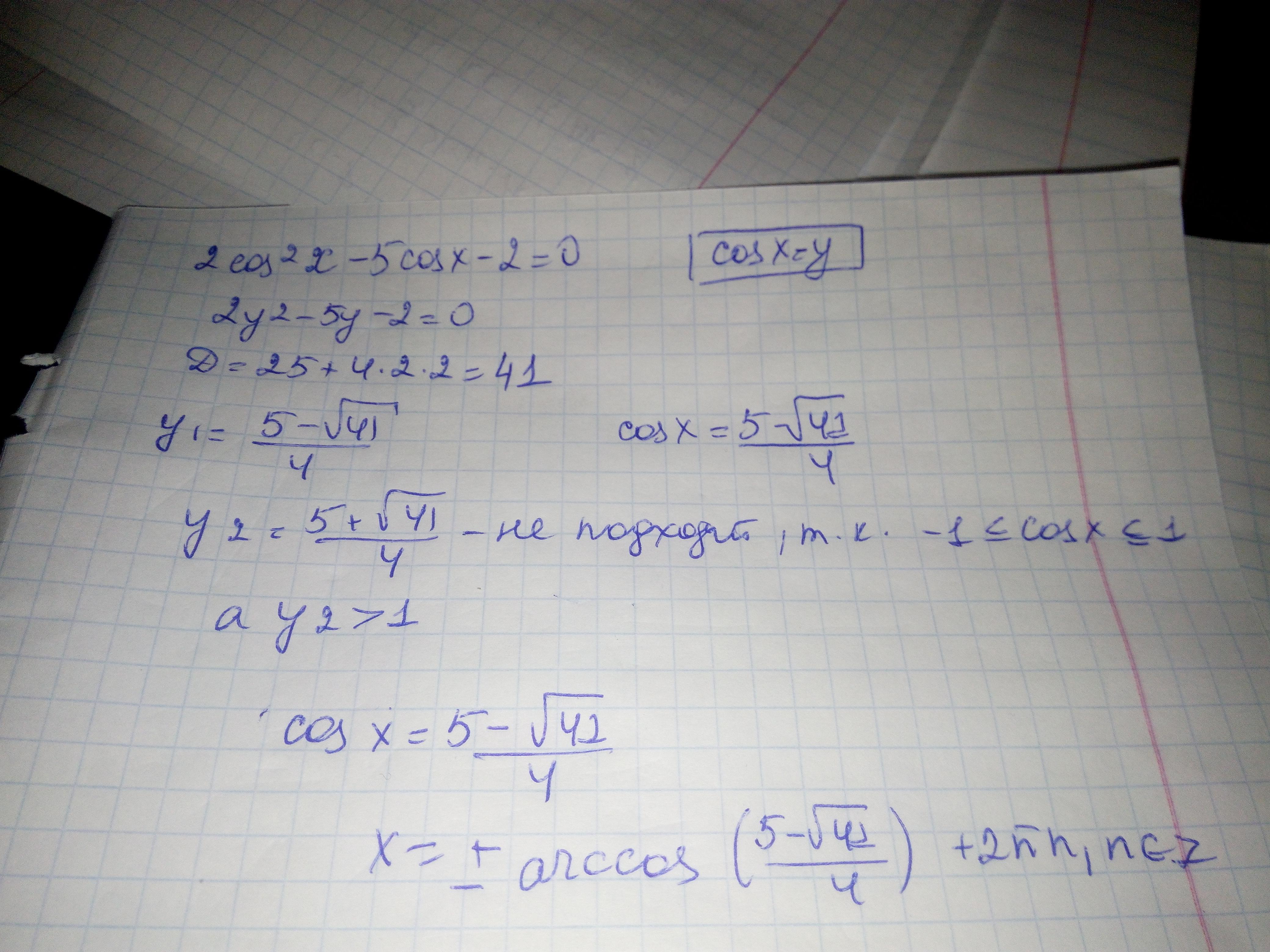
2cos^2(x)-5cos(x)=2
avakinlove:
а можешь сделать фото примера, а то у меня кое-что не сходится
Ответы
Ответ дал:
0
Ответ:файл
Объяснение:
Приложения:

Вас заинтересует
2 года назад
2 года назад
2 года назад
7 лет назад
7 лет назад
9 лет назад
9 лет назад