Ответы
Ответ дал:
3
Ответ:
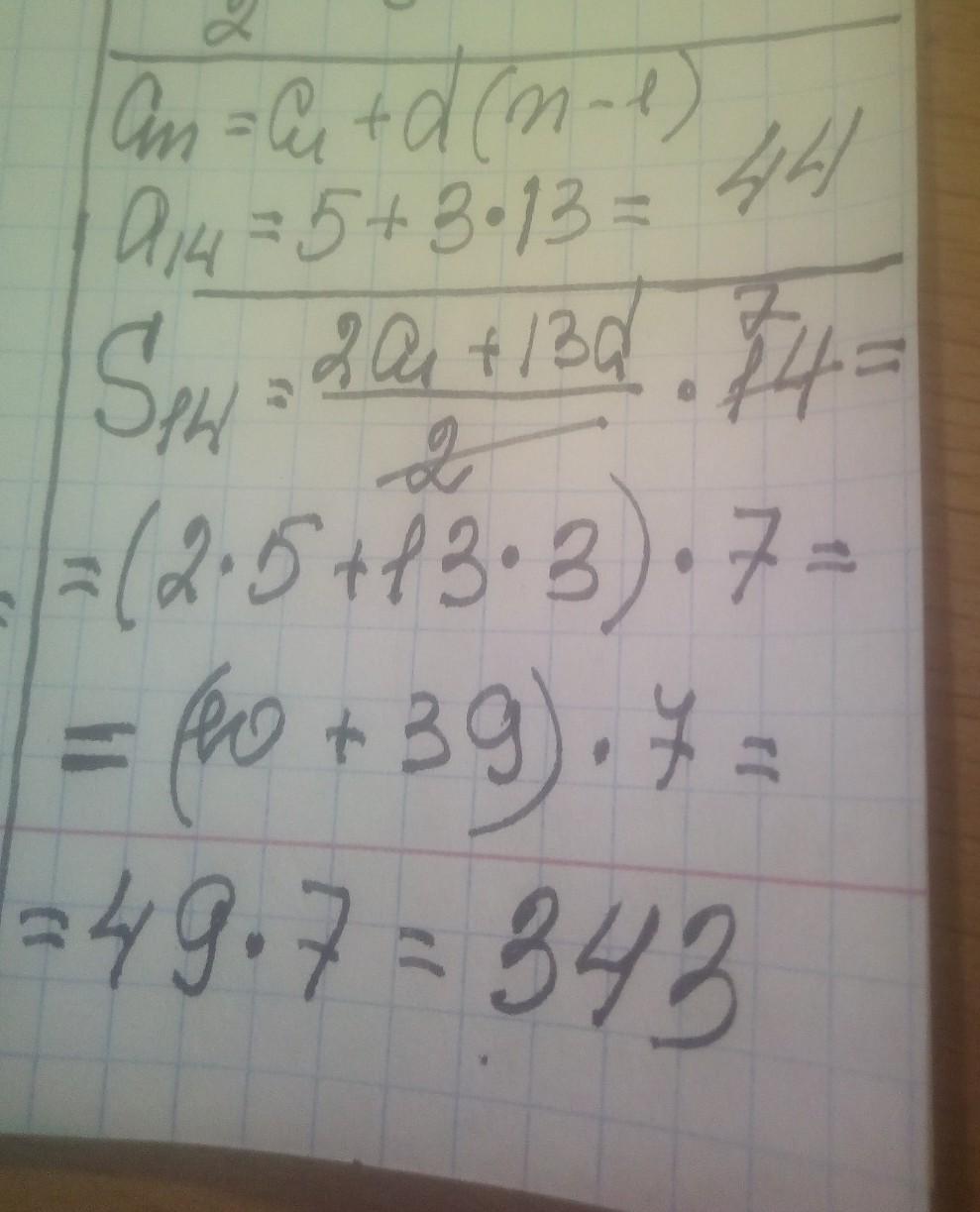
решение на фотографии
,
Приложения:

tatarnikovamilana64:
а можно немного понятнее ? в столбик например
Вас заинтересует
2 года назад
2 года назад
2 года назад
2 года назад
7 лет назад
7 лет назад
9 лет назад
9 лет назад