• Предмет: Математика
  • Автор: uiw95241
  • Вопрос задан 3 года назад

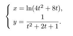
Найти производную dy/dx функции, заданной параметрически

Приложения:

Ответы

Ответ дал: Miroslava227
0

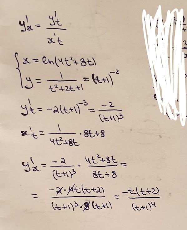
Ответ:

решение на фотографии

Приложения:
Вас заинтересует