Пж помогите решить срочно пж по алгебре прошу заранее спасибо.
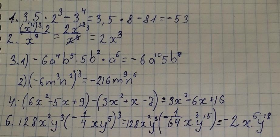
1.Найдите значение выражения 3,5*2^3-3^4
2.представьте виде степени выражения. 4)(x^4)^3*2 ДРОБЬ ЗНАМЕНАТЕЛЬ X^9
3преобразуйте выражение в одночлен стандартного вида.1)-6a^4b^5*5b^2*a^6 2) (-6m^3n^2)^3
4)представьте в виде многочлена стандартного вида выражения. 1)(6x^2-5x+9)-(3x^2+x-7).
6 Упростите выражения. 128x^2y^3*(-1/4xy^5)^3
nubpro32175:
срочно
Ответы
Ответ дал:
0
Ответ:
.......................
Приложения:

Вас заинтересует
2 года назад
2 года назад
2 года назад
2 года назад
7 лет назад
7 лет назад
9 лет назад