• Предмет: Алгебра
  • Автор: elizavetapogorelova9
  • Вопрос задан 3 года назад

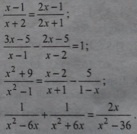
Поможіть дуже срочно​

Приложения:

Ответы

Ответ дал: anastasiatisuk372
0

Ответ:

Я могу ток совет дать

Объяснение:

Загугли _____________________

Вас заинтересует