• Предмет: Алгебра
  • Автор: olivkastyle
  • Вопрос задан 3 года назад

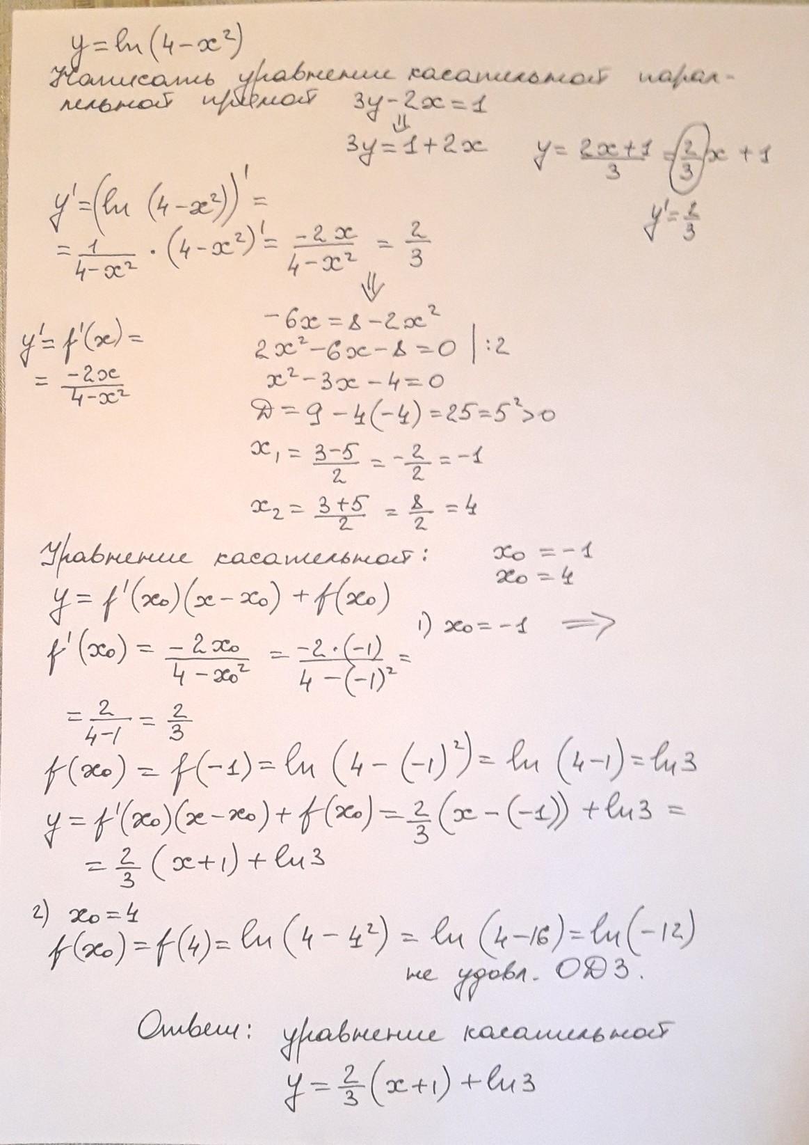
написать уравнения касательной к графику фукции!!
СРОЧНО ДАЮ 30 БАЛЛОВ!!​

Приложения:

sharofat0: у вас в условии не указано касательная к какой точке?

Ответы

Ответ дал: sharofat0
0

Ответ:

y =  \frac{2}{3} (x + 1) + ln3

Написать уравнение касательной.

Приложения:
Вас заинтересует