• Предмет: Алгебра
  • Автор: leontevavaleria811
  • Вопрос задан 3 года назад

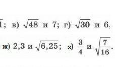
помогитееееееееееееееее надо сравнить​

Приложения:

Ответы

Ответ дал: lordnt
0

Ответ:

в)  корень 48 меньше 7 г) корень 30 меньше 6

ж) 2.3меньше корня из 6.25 з) 3/4больше корня из 7/16

Объяснение:

Вас заинтересует