Ответы
Ответ дал:
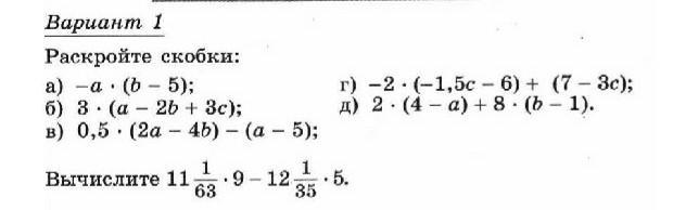
1
Короче, последнее я в коменты попробую добавить . У меня не добавляется
Приложения:

romavasi9:
спасибооооо
Вас заинтересует
2 года назад
7 лет назад
7 лет назад
9 лет назад