Найдите значение выражения:
а) 2-х³, если х5; x=-3; х=-4;
6) -12m²?-1, если m= -6, m=10, m=0,
в) -6+3а, если а-36, a=40, a=-11
СРОЧНО РЕШИТЕЕЕЕЕ
ElectroM17:
Почему x^5, если в примере x^3?
)
Ответы
Ответ дал:
2
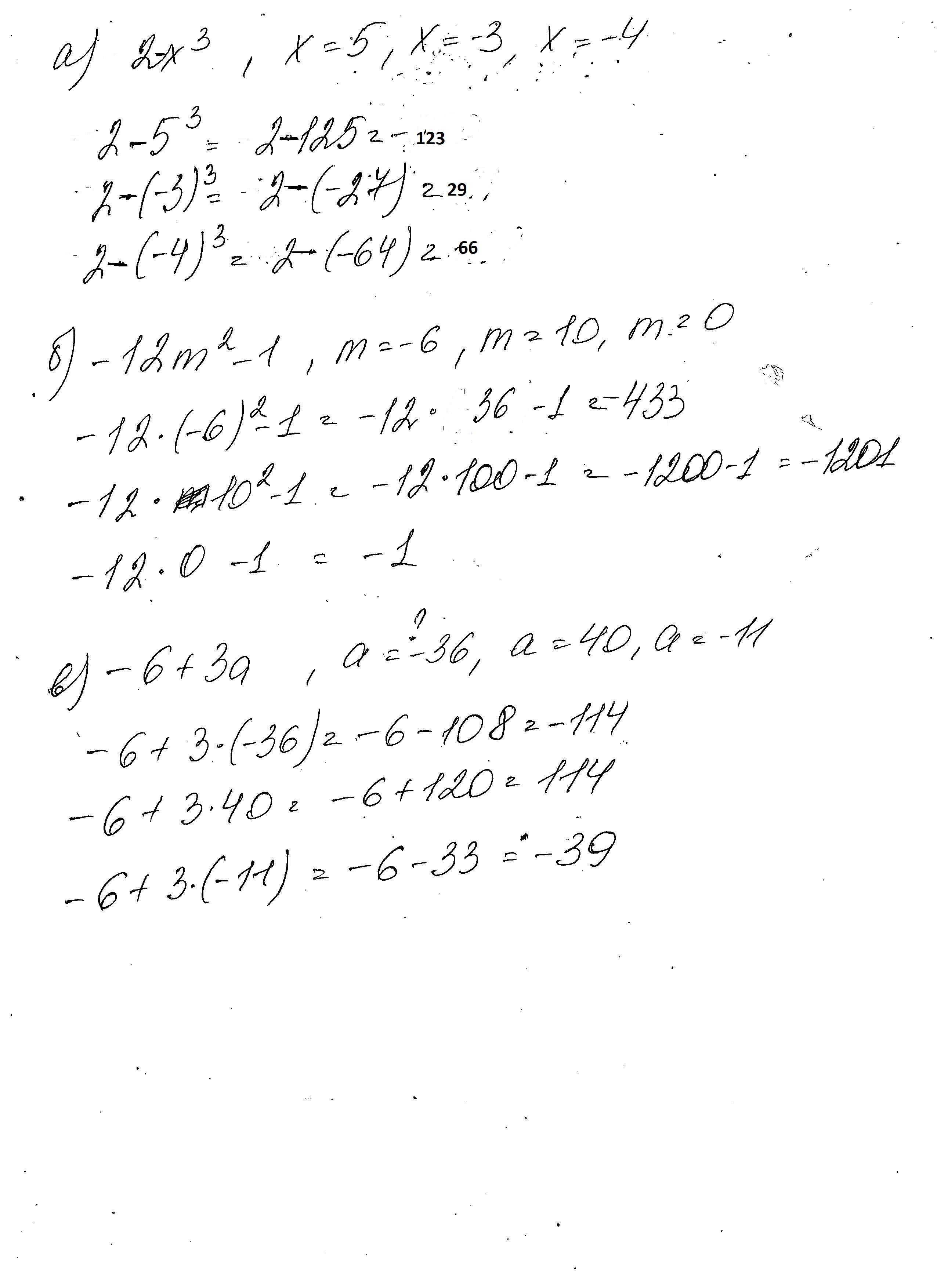
2-x³, если x=5; x=-3; x=-4;
-12m²-1, если m=-6; m=10; m=0;
-6+3a, если a=-36; a=40; a=-11.
1. 2-x³
1) 2-5³ = 2-125 = -123
2) 2+27 = 29
3) 2+64 = 66
2. -12m²-1
1) -12*(-6)²-1 = -12*36-1 = -432-1 = 433
2) -12*100-1 = -1200-1 = -1201
3) -12*0-1 = -1
3. -6+3a
1) -6+3*(-36) = -6-108 = -114
2) -6+3*40 = -6+120 = 114
3) -6+3*(-11) = -6-33 = -39
Ответ дал:
1
Ответ:
Пошаговое объяснение:
в файлее
Приложения:

Вас заинтересует
2 года назад
2 года назад
2 года назад
2 года назад
7 лет назад
7 лет назад
9 лет назад