• Предмет: Математика
  • Автор: grvdr99
  • Вопрос задан 3 года назад

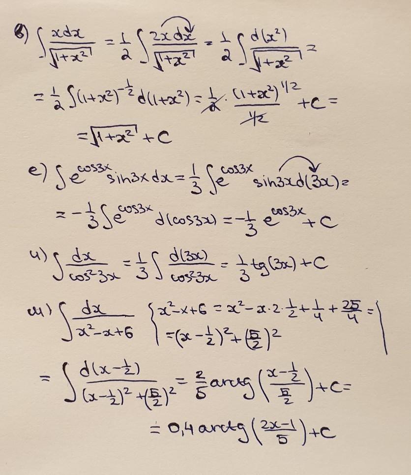
неопределённый интеграл ​

Приложения:

Ответы

Ответ дал: Miroslava227
1

Ответ:

решение на фотографии

Приложения:

677898: зайдите на мой вопрос алгебра
677898: срочно помогите
677898: кто меня слышит зайдите на мой вопрос алгебра
677898: прошуу
grvdr99: помогите продиференцировать, прошу очень важно и срочно
Вас заинтересует