• Предмет: Химия
  • Автор: Аноним
  • Вопрос задан 3 года назад

СРОЧНА!!!!!БОЛЬШИЕ БАЛЛЫ!!!!! ПОЖАЛУЙСТА,ПОМОГИТЕ!!!!! ХИМИЯ!!!!!
3 ПРИМЕРА ХОТЯБЫ!!!!! ПОЖАЛУЙСТА,ПОМОГИТЕ!!!!!

Приложения:

Ответы

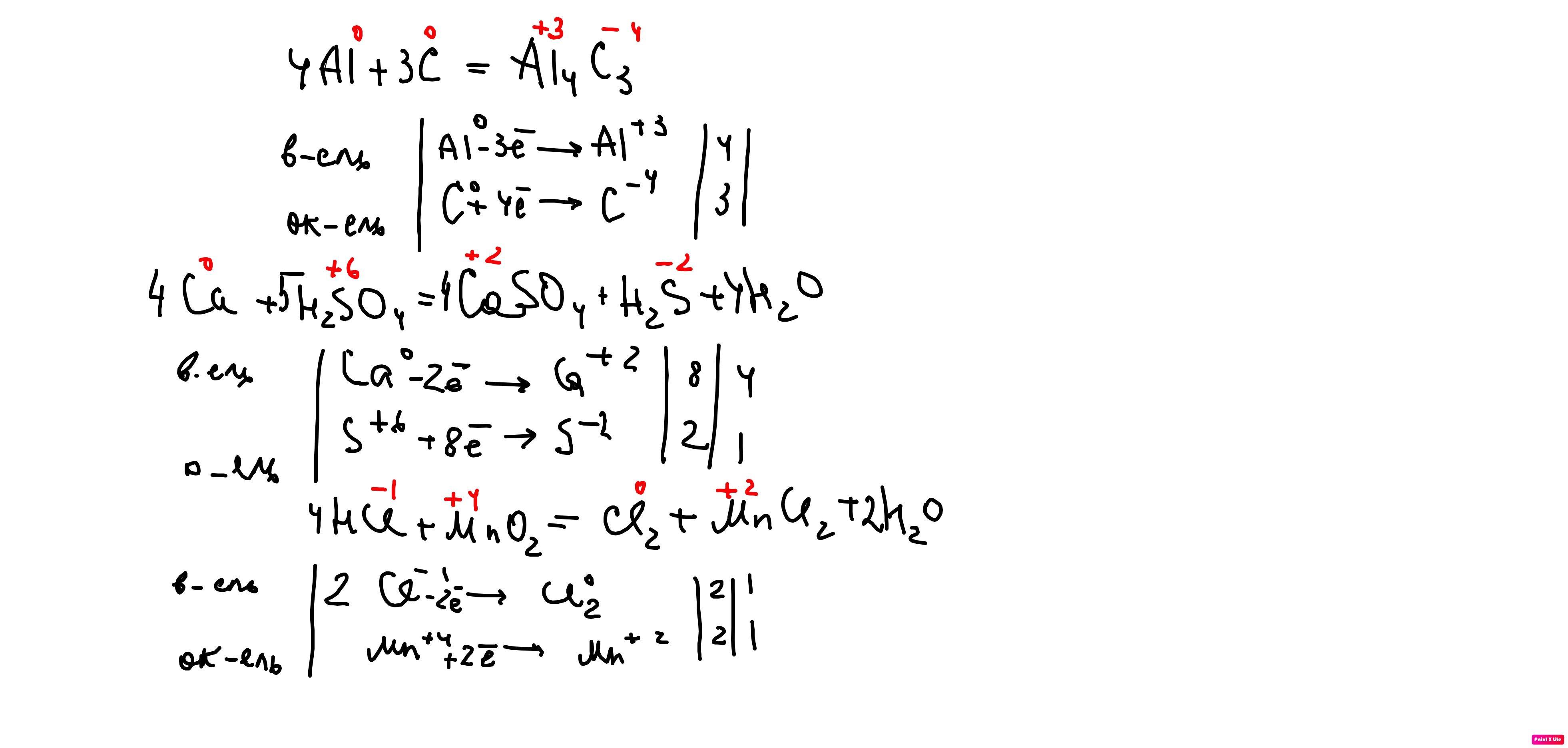
Ответ дал: Himulia
1

Ответ:

Ответ на 3 уравнения в файле

Объяснение:

Жду лучший ответ))))

Приложения:

Аноним: эти ответы верны?????
Himulia: Проверьте)))))
Аноним: ну,я химию не очень хорошо знаю,просто скажите пожалуйста,чтоб я не парился....
Himulia: да
Аноним: спасибо!!!!!)))))
Вас заинтересует