• Предмет: Алгебра
  • Автор: mianord
  • Вопрос задан 3 года назад

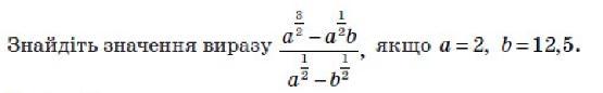
Знайдіть значення виразу якщо a = 2, b = 12,5.

Приложения:

Ответы

Ответ дал: sharofat0
12

Ответ:

-3.

Найти значение выражения.

Объяснение:

 \frac{ {a}^{\frac{3}{2} } -  {a}^{ \frac{1}{2} } b }{ {a}^{ \frac{1}{2} } -  { {b}^{ \frac{1}{2} }  }  }  =

 =  \frac{ {a}^{ \frac{1}{2} } (a - b)}{ {a}^{ \frac{1}{2} } -  {b}^{ \frac{1}{2} }  }  =

 =  \frac{ {a}^{ \frac{1}{2} } (( { {a}^{ \frac{1}{2} }) }^{2}  - ( { {b}^{ \frac{1}{2} } )}^{2} )}{ {a}^{ \frac{1}{2} } -  {b}^{ \frac{1}{2} }  }  =

 =   \frac{ {a}^{ \frac{1}{2} } ( {a}^{ \frac{1}{2} }  -  {b}^{ \frac{1}{2} })( {a}^{ \frac{1}{2} }   +  {b}^{ \frac{1}{2} } )}{ {a}^{ \frac{1}{2} }  -  {b}^{ \frac{1}{2} } }  =

 =  {a}^{\frac{1}{2} } ( {a}^{ \frac{1}{2} }  -  {b}^{ \frac{1}{2} } ) =

 =   {a}^{ \frac{1}{2} } \times  {a}^{ \frac{1}{2} }   -  {a}^{ \frac{1}{2} }  \times  {b}^{ \frac{1}{2} }  =

 = a - ( {ab)}^{ \frac{1}{2} }  =

при

a = 2

b = 12.5

 = 2 - ( {2 \times 12.5)}^{ \frac{1}{2} }  =

 = 2 -  {25}^{ \frac{1}{2} }  = 2 -  \sqrt{25  }  =

 = 2 - 5 =  - 3

Ответ:

-3

Вас заинтересует